| Rysunki utworzono za pomocą programu MSWLogo. |
Obrazki takie jak poniższe można wykonać w wielu programach do rysowania.
Można też nietrudno nauczyć żółwia LOGO, by maszerował po tak powyginanych liniach.
Można pomyśleć, że kwadraty wyrosły na środkach boków sześciokąta (użyj [play]). Rosły tak długo, aż się połączyły w wianuszek.
Kluczowa jest tu zależność pomiędzy długościami boków dużego wielokąta i małych wielokątów. Nietrudno ją znaleźć dla najprostszych wianuszków.
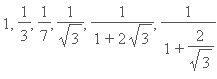
Zadanie 1. Duże wielokąty foremne mają boki o długości a = 1. Wyznacz długości x boków małych wielokątów 'trzymających się za rączki'.
Odpowiedzi
Zadanie 2. Uzasadnij, że dla U5,5 małe pięciokąty mają boki trzykrotnie krótsze niż boki dużego pięciokąta.
Wskazówka do zadania 2.
Poniższe obrazki nieco różnią się od poprzednich.
Teraz mniejsze wielokąty nie 'leżą', a 'stoją' na środkach
boków większych wielokątów.
Tu też otrzymujemy wianuszki.
Poniższe zadanie ma inne odpowiedzi, jednak niewiele się różni od zadania 1. Zobacz.
Zadanie 3. Duże wielokąty foremne mają boki o długości a = 1. Wyznacz długości x boków małych wielokątów 'trzymających się za rączki'.
Więcej i bardziej ogólnie o takich obrazkach możesz przeczytać w tekście Wianuszki.







