Średnia długości przekątnych (tylko dla dorosłych)

Data ostatniej modyfikacji:
2015-07-23
Autor: 
Krzysztof Omiljanowski
pracownik IM UWr
Poziom edukacyjny: 
szkoła średnia z maturą
szkoła wyższa
Dział matematyki: 
geometria analityczna
geometria syntetyczna
precalculus
Dynamiczne rysunki utworzono za pomocą programu C.a.R..

 

 

Można przesuwać 'wypełnione' punkty i suwaki.
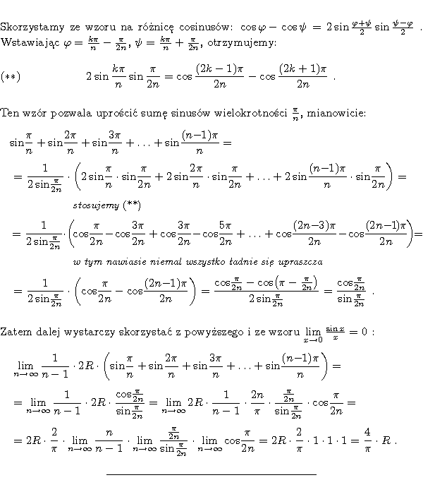
   SPOSÓB A. (trygonometria)
   SPOSÓB B. (liczby zespolone)
   SPOSÓB C. (całka oznaczona)

 

Powrót na górę strony